
RRSO - co to jest? Najważniejsze informacje związane z ratami pożyczek
RRSO - co to znaczy? Jest to kluczowy wskaźnik, który bierzemy pod uwagę analizując oferty dostępnych na rynku pożyczek lub kredytów. Od niego zależy bowiem wysokość kosztów jakie będziemy musieli ponieść decydując się na wybrane finansowanie. I choć teoretycznie może się wydawać, że parametr ten można stosunkowo łatwo porównać, to w rzeczywistości sprawa jest nieco bardziej skomplikowana. RRSO - co to jest i co powinniśmy o nim wiedzieć zanim zdecydujemy się na kredyt czy pożyczkę? – na to pytanie postaramy się odpowiedzieć w niniejszym artykule.
RRSO - co to jest?
Rzeczywista Roczna Stopa Oprocentowania (RRSO) odnajduje swoją definicję w ustawie o kredycie konsumenckim i brzmi ona: RRSO to całkowity koszt kredytu ponoszony przez konsumenta, wyrażony jako wartość procentowa całkowitej kwoty kredytu w stosunku rocznym. Intencją regulatorów było to, by dać klientom możliwość szybkiego porównywania i wyboru najkorzystniejszej oferty kredytu czy pożyczki, a wskaźnik miał w założeniu obejmować wszystkie koszty, które klient obligatoryjnie będzie musiał zapłacić w ramach zaciąganego zobowiązania.
Dane dotyczące RRSO kredytu muszą podawać wszyscy kredytodawcy legalnie działający na polskim rynku. Należy jednak podkreślić, że wiele z instytucji finansowych nie podaje w ramach RRSO pełnych danych dotyczących całkowitych kosztów kredytu czy pożyczki, a dodatkowe opłaty ukrywane są w ramach wymyślanych, nowych parametrów. Dlatego konieczne jest dokładne zapoznanie się ze wszystkimi warunkami oferty, o którą zamierzamy się ubiegać.
RRSO 0% - co to znaczy?
Na pewno niejednokrotnie spotkaliśmy się z propozycją pożyczki z RRSO 0%. Oferta taka sugeruje nam, że skorzystanie z pożyczki nie wiąże się z koniecznością ponoszenia dodatkowych kosztów – w skrócie będziemy musieli oddać dokładnie tyle ile pożyczyliśmy.
W przypadku RRSO O% musimy jednak pamiętać o dwóch podstawowych elementach. Po pierwsze, tego typu oferta najczęściej związana jest z pewnymi ograniczeniami. Na przykład z RRSO 0% będą mogli skorzystać tylko Ci klienci, którzy z pożyczki sfinansują zakup ratalny jakiegoś sprzętu u konkretnego sprzedawcy (np. z branży RTV i AGD). Innym przykładem ograniczenia może być konieczność spełnienia dodatkowych warunków, czyli żeby RRSO kredytu lub pożyczki faktycznie wyniosło 0% trzeba będzie np. spłacić zobowiązanie w konkretnym terminie. Tego typu pożyczki mają najczęściej charakter promocji i można z nich skorzystać na krótki okres czasu.
Po drugie, należy zwrócić uwagę, czy biorąc pożyczkę z zerowym RRSO nie zobowiążemy się do pokrycia innych kosztów, które nie są uwzględnione w omawianym wskaźniku. Jakie to mogą być koszty? Konieczność zakupu dodatkowych produktów kredytodawcy w postaci na przykład kart kredytowych. Ich obsługa – mimo że sama pożyczka będzie się cechowała brakiem marży – może okazać się dla nas zdecydowanie droższa niż pożyczka z kilkuprocentowym RRSO.
Zobacz także na blogu:
Od czego zależy wysokość RRSO?
Przy podawaniu RRSO banki biorą pod uwagę:
- oprocentowanie kredytu / pożyczki – na które w największym stopniu wpływ ma stawka referencyjna (stopa bazowa) oraz marża banku,
- prowizje – dodatkowe koszty, które instytucje finansowe naliczają na różnych etapach procedowania wniosku. Mogą one wiązać się z dodatkową opłatą za uruchomienie kredytu czy pożyczki lub przetworzenie dokumentu,
- inne opłaty – na przykład obowiązkowe ubezpieczenie kredytu, które trzeba wykupić chcąc skorzystać z oferty.
Jak obliczyć RRSO kredytu?
Aby obliczyć omawiany wskaźnik, niezbędne będzie zestawienie parametrów takich jak:
- kwota kredytu
- oprocentowanie kredytu
- okres spłaty
- okres o stałym oprocentowaniu
- typ rat (malejące czy równe)
- prowizję maklerską lub opłaty manipulacyjnemarża
- inne dodatkowe koszty.
Bank lub inny podmiot udzielający pożyczki gotówkowej jest zobowiązany do udostępnienia klientom powyższych informacji. Mając takie dane, możemy zastosować wzór matematyczny na obliczanie RRSO kredytów gotówkowych lub posłużyć się przeznaczonym do tego kalkulatorem. Najszybszym sposobem jest wpisanie odpowiednich danych do jednego z internetowych kalkulatorów finansowych, który dokona za nas niezbędnych obliczeń.
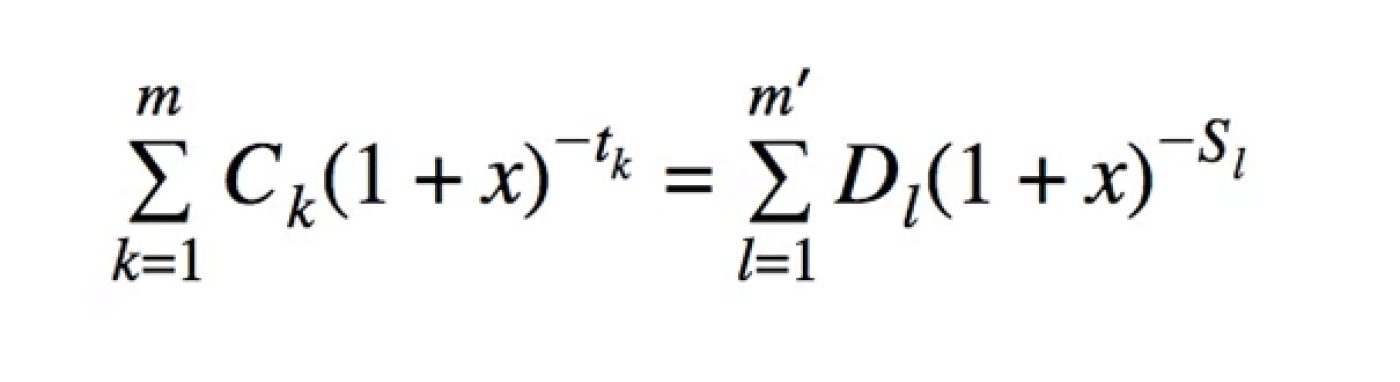
RRSO kredytu - wzór
Tym, którzy chcą sami wyliczyć średnie RRSO kredytów gotówkowych interesującej ich oferty z pomocą może przyjść kalkulator RRSO, który nietrudno znaleźć korzystając z wyszukiwarki internetowej. Można to też zrobić podstawiając odpowiednie dane do wzoru podanego w ustawie o kredycie konsumenckim:

Gdzie poszczególne litery i symbole oznaczają:
X – rzeczywistą roczną stopę oprocentowania,
m – numer kolejny ostatniej wypłaty raty kredytu,
k – numer kolejny wypłaty, zatem 1 ≤ k ≤ m,Ck – kwotę wypłaty k,
tk – okres, wyrażony w latach lub ułamkach lat, między dniem pierwszej wypłaty a dniem każdejkolejnej wypłaty, zatem t1 = 0,
m' – numer kolejny ostatniej spłaty lub wnoszonych opłat,
l – numer kolejny spłaty lub wnoszonych opłat,
Dl – kwotę spłaty lub wnoszonych opłat,
Sl – okres, wyrażony w latach lub ułamkach lat, między dniem pierwszej wypłaty a dniem każdejspłaty lub wniesienia opłat.
Decydując się na samodzielne wyliczanie omawianego wskaźnika dla ofert, które nas interesują należy pamiętać o tym, by przyjmować dla wszystkich ofert zbliżone, a najlepiej takie samy parametry. Tylko w ten sposób otrzymany wynik pozwoli nam podjąć właściwą decyzję.
Jak RRSO wpływa na koszt kredytu i pożyczki?
Porównanie RRSO kredytów gotówkowych różnych ofert może ułatwić nam decyzję o wyborze najkorzystniejszego dla nas wariantu. Należy się jednak upewnić, że obliczenia wykonaliśmy poprawnie, a porównanie dotyczy ofert o tych samych parametrach. Wskaźnik ten jest pomocny dla konsumentów, ponieważ informuje o całkowitym koszcie kredytu w ujęciu rocznym.
Jakie RRSO kredytu jest korzystne?
Najkorzystniejszy wskaźnik Rzeczywistej Rocznej Stopy Oprocentowania wynosi 0%, jest to jednak rzadka sytuacja. W takim wypadku pożyczkobiorca oddaje bankowi dokładnie taką kwotę, jaką pożyczył, nie ponosząc z tego tytułu żadnych dodatkowych kosztów. Często banki oferują RRSO na poziomie 0% oferują krótki okres i relatywnie niskie kwoty, co więcej skorzystanie z takiej oferty wymaga też nieraz spełnienia dodatkowych warunków.
Można przyjąć, że oferta jest tym korzystniejsza, im niższe jest RRSO, o ile porównujemy oferty z taką samą kwotą kredytu, okresem spłaty i rodzajem rat. Dokonując porównania kilku ofert, należy pamiętać o zachowaniu tych samych parametrów kredytu, ponieważ RRSO to wskaźnik w ujęciu rocznym.
RRSO kredytu gotówkowego a całkowity koszt
Według ustawy z 12 maja 2011 r. o kredycie konsumenckim RRSO jest “całkowitym kosztem kredytu ponoszonym przez konsumenta, wyrażonym jako wartość procentowa całkowitej kwoty kredytu w stosunku rocznym”.
Nie wlicza się jednak do niego ewentualnych kosztów notarialnych ponoszonych przez klienta ani kosztów dodatkowych produktów, na przykład opłat za prowadzenie konta bankowego, jeśli klient otworzył takie w związku z otrzymanym kredytem.
Zgodnie z definicją w ustawie o kredycie konsumenckim – całkowity koszt kredytu to całość kosztów, które musi ponieść klient, chcąc zawrzeć umowę o kredyt konsumencki.
Na czym w takim razie polega różnica między RRSO kredytu a jego całkowitym kosztem? Rzeczywista Roczna Stopa Oprocesntowania jest wskaźnikiem w stosunku rocznym. Całkowity koszt kredytu rozpatrujemy dla całego okresu kredytowania, na przykład dla 10 lat w przypadku pożyczki udzielonej na taki właśnie okres. RRSO informuje nas o kosztach w skali jednego roku. Zawsze należy pamiętać, że jest to roczna stopa oprocentowania.
Szczegółowe informacje na ten temat zawarte są w umowie kredytu. Na ostateczne warunki pożyczki dla danego konsumenta składa się bardzo wiele czynników, dlatego każdy przypadek umowy kredytu należy analizować osobno.
Najwygodniejsza pożyczka przez internet
Na RRSO składa się – jak wyżej wymieniono – wiele czynników, które decydują o jego ostatecznym wymiarze. W opłatach dodatkowych, które wliczane są do RRSO kredytobiorcy uwzględniają także koszty, które ponoszą w ramach prowadzonych procesów kredytowych. Dlatego w ostatnim czasie zauważamy coraz większą popularność pożyczek udzielanych online, które niosą szereg korzyści dla obu stron postępowania kredytowego. To przede wszystkim oszczędność czasu – o pożyczkę można wnioskować z dowolnego miejsca na ziemi – wystarczy dostęp do Internetu i spełnienie kryteriów wymaganych przez konkretnych kredytodawców. Nie trzeba składać wizyt w fizycznych oddziałach banków, podpisywać stosów formularzy, czy długo czekać na podjęcie przez instytucję finansową decyzji kredytowej. Ponadto stosowane przez pożyczkodawców systemy oparte na najnowszych rozwiązaniach technologicznych dbają o bezpieczeństwo naszych danych i udzielonych informacji.
Aplikacje i strony internetowe to intuicyjne narzędzia, dzięki którym w prosty sposób możemy zawnioskować o interesującą nas ofertę. Niższe koszty obsługi klientów pozwalają wobec tego kredytodawcom oferować atrakcyjniejsze warunki.
Źródła:
- Ustawa o kredycie konsumenckim
- https://www.telepolis.pl/fintech/poradniki/rrso-czym-jest-wzor-chwilowka-kredyt
- https://www.bankier.pl/smart/rrso-czym-jest-i-jak-obliczyc-dla-kredytu-wzor
- https://www.money.pl/banki/rrso-co-to-takiego-i-jaki-ma-wplyw-na-koszt-kredytu-6758501843360384a.html
Treść niniejszego artykułu służy wyłącznie celom informacyjnym i nie powinna być traktowana jako porada i/lub rekomendacja, ani też jako zachęta lub oferta Raiffeisen Digital Bank AG. Niniejszy artykuł przygotowaliśmy z należytą starannością, badając zawarte w nim informacje a także wybierając źródło wykorzystanych informacji. Niemniej jednak, Raiffeisen Digital Bank AG nie ponosi żadnej odpowiedzialności za jakiekolwiek wykorzystanie tych treści lub za poprawność i kompletność informacji udostępnionych w tym artykule lub w odniesieniu do źródeł wykorzystanych informacji.